|
8
კვირა |
11 მაისი - 17 მაისი |
ნახშირწყლები >> გლუკოზის კატაბოლიზმი/გლიკოლიზი |
|
|
წარმოდგენილი პრეზენტაციის სტატიკური ვერსია (ანიმირების გარეშე). |
| პრეზენტაციის სტატიკური ასლი |
| ნახ 1. ადენოზინფოსფორმჟავების სტრუქტურული ფორმულები |
| ნახ. 1.1 ▼ |
![]() |
| ნახ. 1.2 ▼ |
![]() |
| ნახ. 1.3 ▼ |
![]() |
| ნახ. 1.4 ▼ |
![]() |
| ნახ. 1.5 ▼ |
![]() |
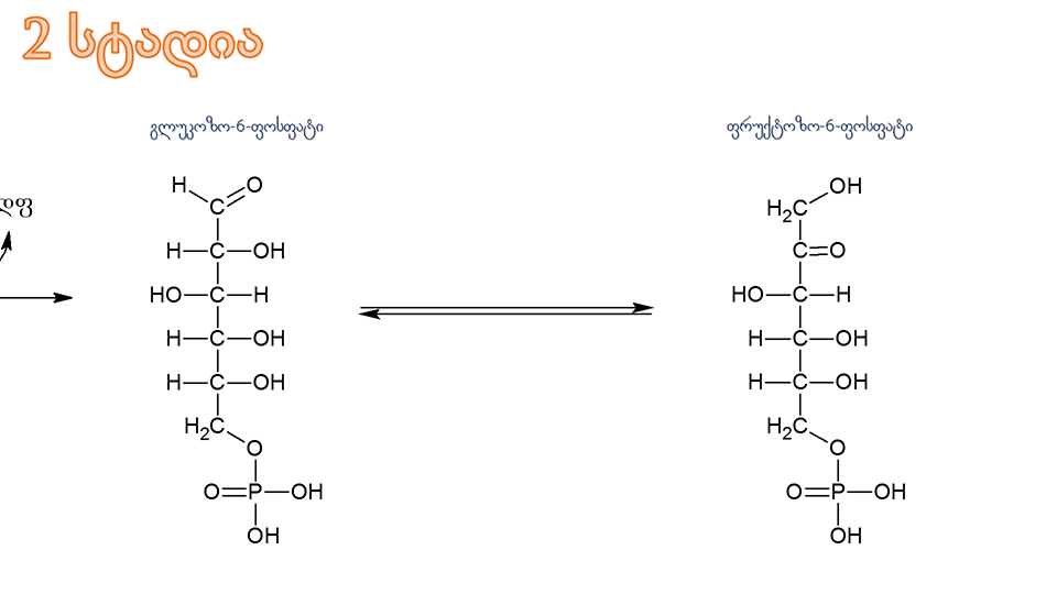
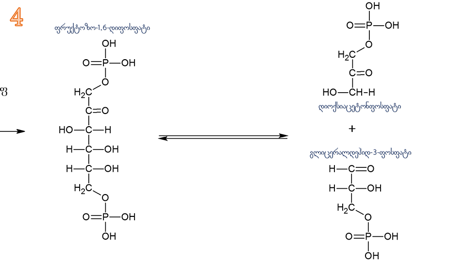
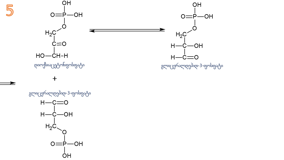
| ნახ 2. გლიკოლიზი >> 1 ეტაპი (მოსამზადებელი) |
| ნახ. 2.1 ▼ |
![]() |
| ნახ. 2.2 ▼ |
![]() |
| ნახ. 2.3 ▼ |
![]() |
| ნახ. 2.4 ▼ |
![]() |
| ნახ. 2.5 ▼ |
![]() |
| ნახ. 2.6 ▼ |
![]() |